반응형

https://www.acmicpc.net/problem/15657

 

15657번: N과 M (8)

N개의 자연수와 자연수 M이 주어졌을 때, 아래 조건을 만족하는 길이가 M인 수열을 모두 구하는 프로그램을 작성하시오. N개의 자연수는 모두 다른 수이다. N개의 자연수 중에서 M개를 고른 수열

www.acmicpc.net

문제

N개의 자연수와 자연수 M이 주어졌을 때, 아래 조건을 만족하는 길이가 M인 수열을 모두 구하는 프로그램을 작성하시오. N개의 자연수는 모두 다른 수이다.

  • N개의 자연수 중에서 M개를 고른 수열
  • 같은 수를 여러 번 골라도 된다.
  • 고른 수열은 비내림차순이어야 한다.
    • 길이가 K인 수열 A가 A1 ≤ A2 ≤ ... ≤ AK-1 ≤ AK를 만족하면, 비내림차순이라고 한다.

입력

첫째 줄에 N과 M이 주어진다. (1 ≤ M ≤ N ≤ 8)

둘째 줄에 N개의 수가 주어진다. 입력으로 주어지는 수는 10,000보다 작거나 같은 자연수이다.

출력

한 줄에 하나씩 문제의 조건을 만족하는 수열을 출력한다. 중복되는 수열을 여러 번 출력하면 안되며, 각 수열은 공백으로 구분해서 출력해야 한다.

수열은 사전 순으로 증가하는 순서로 출력해야 한다.


풀이

dfs를 통해 풀었다.

숫자는 받은 후 sort 하여 오름차순 정렬하였으며, 인덱스로 접근했다

python 코드

# 15657 N과 M (8)

def dfs(n):
    if len(arr) == M:
        print(*arr)
        return
    else:
        for i in range(n, N):
            arr.append(num[i])
            dfs(i)
            arr.pop()

N, M = map(int,input().split())
num = list(map(int,input().split()))
num.sort()
arr = []

dfs(0)
반응형
반응형

https://www.acmicpc.net/problem/15654

 

15654번: N과 M (5)

N개의 자연수와 자연수 M이 주어졌을 때, 아래 조건을 만족하는 길이가 M인 수열을 모두 구하는 프로그램을 작성하시오. N개의 자연수는 모두 다른 수이다. N개의 자연수 중에서 M개를 고른 수열

www.acmicpc.net

문제

N개의 자연수와 자연수 M이 주어졌을 때, 아래 조건을 만족하는 길이가 M인 수열을 모두 구하는 프로그램을 작성하시오. N개의 자연수는 모두 다른 수이다.

  • N개의 자연수 중에서 M개를 고른 수열

입력

첫째 줄에 N과 M이 주어진다. (1 ≤ M ≤ N ≤ 8)

둘째 줄에 N개의 수가 주어진다. 입력으로 주어지는 수는 10,000보다 작거나 같은 자연수이다.

출력

한 줄에 하나씩 문제의 조건을 만족하는 수열을 출력한다. 중복되는 수열을 여러 번 출력하면 안되며, 각 수열은 공백으로 구분해서 출력해야 한다.

수열은 사전 순으로 증가하는 순서로 출력해야 한다.


풀이

dfs로 풀었다.

수열에는 인덱스 값을 통해 접근했다

python코드

# 15654 N과 M (5)
def dfs():
    if len(arr) == M:
        print(*arr)
        return
    else:
        for i in range(N):
            if num[i] not in arr:
                arr.append(num[i])
                dfs()
                arr.pop()


N, M = map(int,input().split())
num = list(map(int,input().split()))
num.sort()
arr = []

dfs()
반응형

'study > 백준' 카테고리의 다른 글

[백준] 7785. 회사에 있는 사람 : python  (0) 2022.08.22
[백준] 15657. N과 M (8) : python  (0) 2022.08.14
[백준] 15652. N과 M (4) : python  (0) 2022.08.14
[백준] 2407. 조합 : python  (0) 2022.08.14
[백준] 1043. 거짓말 : python  (0) 2022.08.13
반응형

https://www.acmicpc.net/problem/15652

 

15652번: N과 M (4)

한 줄에 하나씩 문제의 조건을 만족하는 수열을 출력한다. 중복되는 수열을 여러 번 출력하면 안되며, 각 수열은 공백으로 구분해서 출력해야 한다. 수열은 사전 순으로 증가하는 순서로 출력해

www.acmicpc.net

문제

자연수 N과 M이 주어졌을 때, 아래 조건을 만족하는 길이가 M인 수열을 모두 구하는 프로그램을 작성하시오.

  • 1부터 N까지 자연수 중에서 M개를 고른 수열
  • 같은 수를 여러 번 골라도 된다.
  • 고른 수열은 비내림차순이어야 한다.
    • 길이가 K인 수열 A가 A1 ≤ A2 ≤ ... ≤ AK-1 ≤ AK를 만족하면, 비내림차순이라고 한다.

입력

첫째 줄에 자연수 N과 M이 주어진다. (1 ≤ M ≤ N ≤ 8)

출력

한 줄에 하나씩 문제의 조건을 만족하는 수열을 출력한다. 중복되는 수열을 여러 번 출력하면 안되며, 각 수열은 공백으로 구분해서 출력해야 한다.

수열은 사전 순으로 증가하는 순서로 출력해야 한다.


풀이

dfs를 통해 풀었다

python코드

# 15652 N과 M (4)

def dfs(n):
    if len(arr) == M:
        print(*arr)
        return
    else:
        for i in range(n,N+1):
            arr.append(i)
            dfs(i)
            arr.pop()

N, M = map(int,input().split())
arr = []
dfs(1)
반응형

'study > 백준' 카테고리의 다른 글

[백준] 15657. N과 M (8) : python  (0) 2022.08.14
[백준] 15654. N과 M (5) : python  (0) 2022.08.14
[백준] 2407. 조합 : python  (0) 2022.08.14
[백준] 1043. 거짓말 : python  (0) 2022.08.13
[백준] 15650. N과 M (2) : python  (0) 2022.08.10
반응형

https://www.acmicpc.net/problem/2407

 

2407번: 조합

n과 m이 주어진다. (5 ≤ n ≤ 100, 5 ≤ m ≤ 100, m ≤ n)

www.acmicpc.net

문제

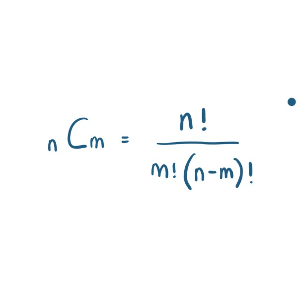
nCm을 출력한다.

입력

n과 m이 주어진다. (5 ≤ n ≤ 100, 5 ≤ m ≤ 100, m ≤ n)

출력

nCm을 출력한다.


풀이

nCm을 푸는 방법을 안다면 어렵지 않게 풀 수 있었다.

최대 입력값이 100이라 시간초과를 고려하지 않아서 빠르게 할 수 있었다!

python 코드

# 2407 조합

n, m = map(int,input().split())
num = 1
den = 1
n_m = 1

for i in range(1, n+1):
    num *= i
for i in range(1, m+1):
    den *= i
for i in range(1, (n-m)+1):
    n_m *= i
print(num // (den * n_m))
반응형
반응형

https://www.acmicpc.net/problem/1043

 

1043번: 거짓말

지민이는 파티에 가서 이야기 하는 것을 좋아한다. 파티에 갈 때마다, 지민이는 지민이가 가장 좋아하는 이야기를 한다. 지민이는 그 이야기를 말할 때, 있는 그대로 진실로 말하거나 엄청나게

www.acmicpc.net

문제

지민이는 파티에 가서 이야기 하는 것을 좋아한다. 파티에 갈 때마다, 지민이는 지민이가 가장 좋아하는 이야기를 한다. 지민이는 그 이야기를 말할 때, 있는 그대로 진실로 말하거나 엄청나게 과장해서 말한다. 당연히 과장해서 이야기하는 것이 훨씬 더 재미있기 때문에, 되도록이면 과장해서 이야기하려고 한다. 하지만, 지민이는 거짓말쟁이로 알려지기는 싫어한다. 문제는 몇몇 사람들은 그 이야기의 진실을 안다는 것이다. 따라서 이런 사람들이 파티에 왔을 때는, 지민이는 진실을 이야기할 수 밖에 없다. 당연히, 어떤 사람이 어떤 파티에서는 진실을 듣고, 또다른 파티에서는 과장된 이야기를 들었을 때도 지민이는 거짓말쟁이로 알려지게 된다. 지민이는 이런 일을 모두 피해야 한다.

사람의 수 N이 주어진다. 그리고 그 이야기의 진실을 아는 사람이 주어진다. 그리고 각 파티에 오는 사람들의 번호가 주어진다. 지민이는 모든 파티에 참가해야 한다. 이때, 지민이가 거짓말쟁이로 알려지지 않으면서, 과장된 이야기를 할 수 있는 파티 개수의 최댓값을 구하는 프로그램을 작성하시오.

입력

첫째 줄에 사람의 수 N과 파티의 수 M이 주어진다.

둘째 줄에는 이야기의 진실을 아는 사람의 수와 번호가 주어진다. 진실을 아는 사람의 수가 먼저 주어지고 그 개수만큼 사람들의 번호가 주어진다. 사람들의 번호는 1부터 N까지의 수로 주어진다.

셋째 줄부터 M개의 줄에는 각 파티마다 오는 사람의 수와 번호가 같은 방식으로 주어진다.

N, M은 50 이하의 자연수이고, 진실을 아는 사람의 수는 0 이상 50 이하의 정수, 각 파티마다 오는 사람의 수는 1 이상 50 이하의 정수이다.

출력

첫째 줄에 문제의 정답을 출력한다.


풀이

무려 4중 for문을 사용해서 문제를 해결했다. 입력 값의 최대 값이 모두 50이하라서 통과지 조금만 더 컸다면 시간초과로 통과하지 못했을 효율적이지 않은 코드라고 생각한다.

 

일단 풀이는

진실을 알고 있는 사람을 list에 담아준다.

 

그리고 파티에 방문하여 그 파티에 사람들 중 진실을 알고 있는 사람이 있는지 검사한다.

만약 진실을 알고 있는 사람이 있다면 그 파티에 있는 모든 사람들을 진실을 알고 있는 리스트에 추가한다

해당 파티를 cnt 에 저장한다.

모든 파티를 돌고 나서 모든 파티의 개수(M) - 진실을 아는 사람이 있는 파티(cnt)의 갯수를 뺀다

 

이렇게 하면 문제가 발생한다!

예제 5번의 경우에 7번째 파티에 10번은 진실을 모르는 상태이기 때문에 지민이는 10번에게 과장된 말을 하고

이후에 8번째 파티에서 과장된 진실을 아는 10번과 진실을 아는 3번이 만나게 되는 것이다...!\(º □ º l|l)/

그럼 꼼짝 없이 지민이는 거짓말쟁이가 되버린다.

 

이걸 해결하기 위해 해당 과정을 파티의 개수만큼 반복해줬다

그럼 cnt의 값이 어마무시하게 많아지는데 set()으로 중복을 제거하면 해결!

 

다른 사람들의 코드를 보고 더 효율적인 방법을 찾아야겠다.

python 코드

# 1043 거짓말
N, M = map(int,input().split())
know = list(map(int,input().split()))
knowNum = know[0]
know.pop(0)
party = []
cnt = []

for i in range(M):
    p = list(map(int,input().split()))
    p.pop(0)
    party.append(p)
for a in range(M):
    for i in range(M):
        for j in range(len(know)):
            if know[j] in party[i]:
                cnt.append(i)
                for k in party[i]:
                    if k not in know:
                        know.append(k)
                break
cnt = set(cnt)
print(M - len(cnt))
반응형
반응형

https://www.acmicpc.net/problem/15650

 

15650번: N과 M (2)

한 줄에 하나씩 문제의 조건을 만족하는 수열을 출력한다. 중복되는 수열을 여러 번 출력하면 안되며, 각 수열은 공백으로 구분해서 출력해야 한다. 수열은 사전 순으로 증가하는 순서로 출력해

www.acmicpc.net

문제

자연수 N과 M이 주어졌을 때, 아래 조건을 만족하는 길이가 M인 수열을 모두 구하는 프로그램을 작성하시오.

  • 1부터 N까지 자연수 중에서 중복 없이 M개를 고른 수열
  • 고른 수열은 오름차순이어야 한다.

입력

첫째 줄에 자연수 N과 M이 주어진다. (1 ≤ M ≤ N ≤ 8)

출력

한 줄에 하나씩 문제의 조건을 만족하는 수열을 출력한다. 중복되는 수열을 여러 번 출력하면 안되며, 각 수열은 공백으로 구분해서 출력해야 한다.

 

수열은 사전 순으로 증가하는 순서로 출력해야 한다.


풀이

dfs로 함수를 돌며 문제를 해결했다

1부터 채워넣기 위해 make(1)로 시작

그리고 n부터 N+1까지 돌았다. n 이 아닌 1부터 시작하면

[1, 2] [2, 1]과 같은 배열도 포함이 되어버린다.

 

그리고  [1, 1] [2, 2] 같이 중복이 되는 것도 피하기 위해서

if i not in arr로 중복을 피했다

python코드

# 15650 N과 M (2)

def make(n):
    if len(arr) == M:
        print(*arr)
        return
    for i in range(n, N + 1):
        if i not in arr:
            arr.append(i)
            make(i)
            arr.pop()



N, M = map(int,input().split())
arr = []

make(1)
반응형

'study > 백준' 카테고리의 다른 글

[백준] 2407. 조합 : python  (0) 2022.08.14
[백준] 1043. 거짓말 : python  (0) 2022.08.13
[백준] 11866. 요세푸스 문제 0 : python  (0) 2022.08.10
[백준] 1715. 카드 정렬하기 : python  (0) 2022.08.07
[백준] 10610. 30 : python  (0) 2022.08.05
반응형

https://www.acmicpc.net/problem/1715

 

1715번: 카드 정렬하기

정렬된 두 묶음의 숫자 카드가 있다고 하자. 각 묶음의 카드의 수를 A, B라 하면 보통 두 묶음을 합쳐서 하나로 만드는 데에는 A+B 번의 비교를 해야 한다. 이를테면, 20장의 숫자 카드 묶음과 30장

www.acmicpc.net

문제

정렬된 두 묶음의 숫자 카드가 있다고 하자. 각 묶음의 카드의 수를 A, B라 하면 보통 두 묶음을 합쳐서 하나로 만드는 데에는 A+B 번의 비교를 해야 한다. 이를테면, 20장의 숫자 카드 묶음과 30장의 숫자 카드 묶음을 합치려면 50번의 비교가 필요하다.

매우 많은 숫자 카드 묶음이 책상 위에 놓여 있다. 이들을 두 묶음씩 골라 서로 합쳐나간다면, 고르는 순서에 따라서 비교 횟수가 매우 달라진다. 예를 들어 10장, 20장, 40장의 묶음이 있다면 10장과 20장을 합친 뒤, 합친 30장 묶음과 40장을 합친다면 (10 + 20) + (30 + 40) = 100번의 비교가 필요하다. 그러나 10장과 40장을 합친 뒤, 합친 50장 묶음과 20장을 합친다면 (10 + 40) + (50 + 20) = 120 번의 비교가 필요하므로 덜 효율적인 방법이다.

N개의 숫자 카드 묶음의 각각의 크기가 주어질 때, 최소한 몇 번의 비교가 필요한지를 구하는 프로그램을 작성하시오.

입력

첫째 줄에 N이 주어진다. (1 ≤ N ≤ 100,000) 이어서 N개의 줄에 걸쳐 숫자 카드 묶음의 각각의 크기가 주어진다. 숫자 카드 묶음의 크기는 1,000보다 작거나 같은 양의 정수이다.

출력

첫째 줄에 최소 비교 횟수를 출력한다.


풀이

가장 효율적인 방법으로 카드를 비교하기 위해서는 가장 작은 숫자들을 더해나가야한다.

가장 작은 숫자들을 더하기 위해 처음에는 정렬을 통해 매번 가장 작은 숫자가 앞으로 오게 한 후

그 숫자들을 더해주는 방법을 생각했었지만, 실패

 

알고리즘 분류에 우선순위 큐가 있었고, 또 다른 코드들을 살펴보니 heapq를 사용한 풀이가 많아 찾아보았다

https://docs.python.org/ko/3/library/heapq.html

 

 

heapq — 힙 큐 알고리즘 — Python 3.10.6 문서

heapq — 힙 큐 알고리즘 소스 코드: Lib/heapq.py 이 모듈은 우선순위 큐 알고리즘이라고도 하는 힙(heap) 큐 알고리즘의 구현을 제공합니다. 힙은 모든 부모 노드가 자식보다 작거나 같은 값을 갖는

docs.python.org

힙은 보든 부모 노드가 자식보다 작서나 같은 값을 갖는 이진트리로,

 힙의 흥미로운 특성은 가장 작은 요소가 항상 루트인 heap[0]이라는 것입니다.

즉 정렬을 하지 않아도 가장 작은 값이 0번 인덱스에 있다는 것이다!

그래서 해당 문제처럼 언제나 가장 작은 값을 필요로 하는 경우 엄청 효율적으로 사용할 수 있을 것 같았다

 

a = heapq.heappop(arr)
b = heapq.heappop(arr)

로 그 순간 가장 작은 값을 pop하여 값을 더해주고, 더해진 값은 ans에 한번 더해지고 또 다른 연산을 위해 arr에 push된다.

arr에 들어간 값은 만약 가장 적은 값이라면 자동으로 arr의 0번 인덱스로 이동하게 되는 것이다...!

헉 너무 쉽게 풀이가 가능해서 놀랐다...! 이래서! 모듈을 사용하는구나!!!!!

python 코드

# 1715 카드 정렬하기

import heapq

n = int(input())
arr = []
for i in range(n):
    heapq.heappush(arr, int(input()))

print(arr)

if n == 1:
    print(0)
else:
    ans = 0
    while len(arr) > 1:
        a = heapq.heappop(arr)
        b = heapq.heappop(arr)
        ans += a + b
        heapq.heappush(arr, a + b)
    print(ans)

 

반응형

'study > 백준' 카테고리의 다른 글

[백준] 15650. N과 M (2) : python  (0) 2022.08.10
[백준] 11866. 요세푸스 문제 0 : python  (0) 2022.08.10
[백준] 10610. 30 : python  (0) 2022.08.05
[백준] 1920. 수 찾기 : python  (0) 2022.08.04
[백준] 5430. AC : python  (0) 2022.07.31
반응형

https://www.acmicpc.net/problem/10610

 

10610번: 30

어느 날, 미르코는 우연히 길거리에서 양수 N을 보았다. 미르코는 30이란 수를 존경하기 때문에, 그는 길거리에서 찾은 수에 포함된 숫자들을 섞어 30의 배수가 되는 가장 큰 수를 만들고 싶어한

www.acmicpc.net

문제

어느 날, 미르코는 우연히 길거리에서 양수 N을 보았다. 미르코는 30이란 수를 존경하기 때문에, 그는 길거리에서 찾은 수에 포함된 숫자들을 섞어 30의 배수가 되는 가장 큰 수를 만들고 싶어한다.

미르코를 도와 그가 만들고 싶어하는 수를 계산하는 프로그램을 작성하라.

입력

N을 입력받는다. N는 최대 105개의 숫자로 구성되어 있으며, 0으로 시작하지 않는다.

출력

미르코가 만들고 싶어하는 수가 존재한다면 그 수를 출력하라. 그 수가 존재하지 않는다면, -1을 출력하라.


풀이

배수판정법을 알고있다면 어렵지 않게 풀 수 있는 문제였다

https://ko.wikipedia.org/wiki/%EB%B0%B0%EC%88%98_%ED%8C%90%EC%A0%95%EB%B2%95

 

배수 판정법 - 위키백과, 우리 모두의 백과사전

위키백과, 우리 모두의 백과사전. 배수 판정법은 배수인지 확인하려는 수의 배수가 맞는지 간단히 확인하는 절차이다. 일반적으로 정수 m , n {\displaystyle m,n} 에 대해 m {\displaystyle m} 이 n {\displaysty

ko.wikipedia.org

30의 배수를 만들기 위해서는 모든 자리의 숫자의 값이 30의 배수가 되어야 하는데

예제 30의 경우

3 + 0 = 3으로 0의 자리는 더해지지 않기 때문에 30의 배수가 될 수 없다

그래서 3의 배수를 구한 후 받은 값에 '0'이 있는지 아닌지 판별하여 30의 배수인지 아닌지 구할 수 있었다.

python코드

# 10610 30

N = list(input())
hap = 0
for i in N:
    hap += int(i)

if '0' in N:
    if hap % 3 != 0:
        print(-1)
    else:
        N.sort()
        N.reverse()
        for i in range(len(N)):
            print(N[i],end='')
else:
    print(-1)
반응형
반응형

https://www.acmicpc.net/problem/1920

 

1920번: 수 찾기

첫째 줄에 자연수 N(1 ≤ N ≤ 100,000)이 주어진다. 다음 줄에는 N개의 정수 A[1], A[2], …, A[N]이 주어진다. 다음 줄에는 M(1 ≤ M ≤ 100,000)이 주어진다. 다음 줄에는 M개의 수들이 주어지는데, 이 수들

www.acmicpc.net

문제

N개의 정수 A[1], A[2], …, A[N]이 주어져 있을 때, 이 안에 X라는 정수가 존재하는지 알아내는 프로그램을 작성하시오.

입력

첫째 줄에 자연수 N(1 ≤ N ≤ 100,000)이 주어진다. 다음 줄에는 N개의 정수 A[1], A[2], …, A[N]이 주어진다. 다음 줄에는 M(1 ≤ M ≤ 100,000)이 주어진다. 다음 줄에는 M개의 수들이 주어지는데, 이 수들이 A안에 존재하는지 알아내면 된다. 모든 정수의 범위는 -231 보다 크거나 같고 231보다 작다.

출력

M개의 줄에 답을 출력한다. 존재하면 1을, 존재하지 않으면 0을 출력한다.


풀이

단순히 숫자를 찾아서 풀면 시간 초과가 난다.

이분 탐색을 사용해서 풀이를 해야한다!

처음에는 파이썬 재귀 초과가 나길래 무슨 문제일까 고민 많이 했는데

binery함수로 재귀 이동할 때 return을 해주지 않으면 계산 후 다시 전 재귀 단계로 돌아오기 때문에,,, return을 필수로 작성해줘야했다.

 

이분탐색법은 미리 입력받은 배열을 정렬한 후 배열의 가운데 숫자와 비교숫자를 비교한 후

입력받은 숫자가 비교 숫자보다 큰 경우 시작점을 가운데 숫자 + 1로

적은경우 끝점을 가운데 숫자 - 1로 바꾸어 계속 비교한다

시간복잡도는 O(logN)으로 중간을 기준으로 탐색을 대상을 절반씩 줄여가서 빠른 편이다!

 

python코드

# 1920 수 찾기
import sys

def binery(i, start, end):
    if start > end:
        return 0
    middle = (start+end)//2
    if i == nArr[middle]:
        return 1

    elif(i < nArr[middle]):
         return binery(i, start, middle - 1)
    else:
        return binery(i, middle + 1, end)


N = int(input())
nArr = list(map(int,sys.stdin.readline().split()))
nArr.sort()

M = int(input())
mArr = list(map(int,sys.stdin.readline().split()))

for i in mArr:
    print(binery(i,0,N-1))
반응형
반응형

https://www.acmicpc.net/problem/5430

 

5430번: AC

각 테스트 케이스에 대해서, 입력으로 주어진 정수 배열에 함수를 수행한 결과를 출력한다. 만약, 에러가 발생한 경우에는 error를 출력한다.

www.acmicpc.net

문제

선영이는 주말에 할 일이 없어서 새로운 언어 AC를 만들었다. AC는 정수 배열에 연산을 하기 위해 만든 언어이다. 이 언어에는 두 가지 함수 R(뒤집기)과 D(버리기)가 있다.

함수 R은 배열에 있는 수의 순서를 뒤집는 함수이고, D는 첫 번째 수를 버리는 함수이다. 배열이 비어있는데 D를 사용한 경우에는 에러가 발생한다.

함수는 조합해서 한 번에 사용할 수 있다. 예를 들어, "AB"는 A를 수행한 다음에 바로 이어서 B를 수행하는 함수이다. 예를 들어, "RDD"는 배열을 뒤집은 다음 처음 두 수를 버리는 함수이다.

배열의 초기값과 수행할 함수가 주어졌을 때, 최종 결과를 구하는 프로그램을 작성하시오.

입력

첫째 줄에 테스트 케이스의 개수 T가 주어진다. T는 최대 100이다.

각 테스트 케이스의 첫째 줄에는 수행할 함수 p가 주어진다. p의 길이는 1보다 크거나 같고, 100,000보다 작거나 같다.

다음 줄에는 배열에 들어있는 수의 개수 n이 주어진다. (0 ≤ n ≤ 100,000)

다음 줄에는 [x1,...,xn]과 같은 형태로 배열에 들어있는 정수가 주어진다. (1 ≤ xi ≤ 100)

전체 테스트 케이스에 주어지는 p의 길이의 합과 n의 합은 70만을 넘지 않는다.

출력

각 테스트 케이스에 대해서, 입력으로 주어진 정수 배열에 함수를 수행한 결과를 출력한다. 만약, 에러가 발생한 경우에는 error를 출력한다.


풀이

예이예~!

 

시간 초과에 대한 풀이법 :

R이 입력되면 배열을 뒤집어 주어야 하고, D 가 입력되면 가장 앞에 있는 값을 없애준다. 여기서 R이 입력될때 마다 reverse를 해주면 시간 초과가 일어난다

R 이 짝수번 있다면 뒤집지 않은것과 같은 상태이기 때문에 R이 입력된 횟수를 카운팅 하며 R이 짝수번이라면 배열의 가장 앞의 값을, R이 홀수번이라면 배열의 가장 뒤의 값을 지우고 최종적으로 R이 홀수일때 배열을 뒤집어 주었다.

틀렸습니다에 대한 풀이법 :

맞왜틀의 연속

결국은 문제에 대한 이해도 부족이었다.

배열의 값이 비어있을 때 error를 반환해야한다고 생각했는데, 배열의 값이 비어있는데 D가 입력되는 경우에 error 반환이었다!

그 외에도 홀수 카운팅을 하면서 0으로 갱신하는 과정을 추가해서 풀었었는데 그것도 갱신할 필요 없이 카운팅을 연속으로 해주면 되는거였다!

입력 받기 :

입력 자체가 [1,2]이런 구성으로 들어왔기 때문에 입력받을때도 고민이 필요했다

slicing을 통해 가장 앞에 값'[' 과 ']'를 지워줬고, 중간에 ','는 split(',')로 없앴다

 

arr = input()[1:-1].split(',')

에서 시간초과를 방지하기 위해

sys.stdin.readline().rstrip()

로 바꿔주었다

.rstrip()을 사용하지 않고

arr = sys.stdin.readline()[1:-2].split(',')

로 진행해도 잘 풀리지만 .rstrip()을 사용하는게 더 가독성이 좋지 않을가...?

 

python 코드

# 5430 AC
import sys

T = int(sys.stdin.readline())

for tc in range(T):
    p = sys.stdin.readline().rstrip()
    n = int(sys.stdin.readline().rstrip())
    arr = sys.stdin.readline().rstrip()[1:-1].split(',')
    flag = 1
    rCnt = 0

    if n == 0:
        arr = []

    for pc in range(len(p)):
        if p[pc] == "R":
            rCnt += 1

        if p[pc] == "D":
            if len(arr) == 0:
                flag = -1
                break
            if rCnt % 2 != 0:
                arr.pop()
            else:
                arr.pop(0)
        if pc == len(p)-1:
            if rCnt % 2 != 0:
                arr.reverse()

    # print(arr)
    if flag == -1:
        print("error")
    else:
        print("[",end='')
        print(','.join(arr),end='')
        print("]")
반응형

+ Recent posts